In our continuing quest for a North American upper treeline chronology that exemplifies the IPCC AR4 claim that additional data since TAR shows “coherent behavior” across multiple indicators, we turn now to the upper treeline proxies of Wilson and Luckman, 2002, 2003. They collected 20 Engelmann spruce sites in British Columbia in 1998, which together with a site from Washington archived at ITRDB, were discussed in two articles, Wilson and Luckman (Dendrochronologia 2002, Holocene 2003). WL03 said that: “All sites were at or within 100—200 m of upper treeline”.
Of the 21 sites, 7 were analyzed for MXD. None of the data has been archived, but it’s only 10 years since it was collected. [Update: This data was archived in August 2007, several months after this post.]
In both articles, subsets of the network varying in size from 5 chronologies to 19 chronologies were selected for analysis, yielding different reconstruction periods varying in start from 1600 to 1847 as shown below. WL03 reported that: “Five short chronologies were excluded from these analyses”. I counted 6 exclusions in their Table 1, one of which commenced in 1702. As Rob Wilson observed below, the six chronologies were excluded because they did not meet an EPS>0.85 standard by 1847.
| Reconstruction | Period | RW | MXD |
| WL03 IBC | 1600-1997 | 3 | 2 |
| WL03 REG | 1847-1997 | 12 | 5 |
| WL02 | 1750-1997 | 12 | 7 |
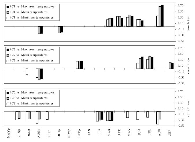
Two of the three reconstructions (WL03 REG (short) and WL02) start with the calculation of varimax principal components. In WL02, the PCs are calculated from a combined RW-MXD network, while in WL03 the PCs are calculated separately for the RW and MXD networks. The left panel below shows the WL02 PCs, while the right panel shows the WL03 PCs, which are obviously very similar, partly because, as noted in WL03, the RW and MXD chronologies turn out to be “naturally orthogonal”. The weights of the WL02 PC1 (left) are predominantly MXD sites, while the PC2 and PC3 in each case can be interpreted as different weighted averages of RW chronologies. I would have preferred the presentation of simple (or defined weight) averages, as also encouraged by the NAS Panel. This was done for the third WL03 IBC (long) reconstruction in which 3 RW and 2 MXD chronologies were separately averaged. Unfortunately, only the PC series were illustrated (and not the averages).
However, the weights for the PC1 and PC2 are shown and provide evidence that an average of the RW chronologies (from the evidence of the PC2 and PC3) would have a decadal peak in the mid-20th century with late 20th century values below the long-term average, while an average of the MXD chronologies will show somewhat elevated late 20th century values, but no higher than corresponding values in the 1930s. No hockey sticks here. So in terms of our main search, the Engelmann spruce chronologies do not support the IPCC AR4 implication of “coherent behavior” by upper treeline proxies to the extent that this is supposed to support the HS.
![]() |
|
Left – from Wilson and Luckman 2002; right, from Wilson and Luckman 2003.
While these two articles have not helped us in our quest for HS-shaped upper treeline reconstructions with values into the 1990s and 2000s, they are instructive in other ways. The traditional dendroclimatic rule of thumb was that lower border sites are precipitation limited and upper border sites are temperature limited. (This seems questionable to me in arid areas but that’s a topic for another day.)
Recently we observed that Gou et al 2007 observed that the situation in arid and semi-arid western China was “complex” and they used a lower border chronology for a reconstruction of minimum temperatures without specifically rejecting the upper border rule of thumb. Gou et al had argued, no doubt with conviction equal to that of Wilson and Luckman, that their chronologies enabled them to reconstruct past minimum temperatures, that warmer winter temperatures led to less frost in the ground and an earlier growing season.
Wilson and Luckman 2002, 2003 likewise eschew reconstruction of mean temperature, but, in their case, they propose a reconstruction of maximum temperature. WL02 provided the following graph showing different trends in maximum, mean and minimum temperature, proposing that the failure of ring widths to increase might be explained by increased nighttime respiration due to higher minimums, without commensurate photosynthesis increases due to no trend in daytime maximum temperatures.
Both papers report a search through climatological variables for the highest correlation. In a passing comment elsewhere, I mentioned that such results seemed somewhat “opportunistic” – in that they resulted from a search through climatological variables – and that it would be nice to see the results repeated on out-of-sample data. (This avoids potential problems of the Texas Sharpshooter type).
I’ve received an email notifying me that this comment constituted further “misinformation” – the Dendro Truth Squad remains alert to the slightest potential error at climateaudit. Notwithstanding this cryptic notice from the Truth Squad, I fail to see what’s wrong with this observation.
Gou et al and Luckman and Wilson are equally authoritative; both search through climatological variables and come up with different variables to reconstruct. That’s what seems opportunistic. Such concerns can easily be put to rest by, say, Luckman and Wilson showing the superiority of their hypothesis on the Gou data or vice versa. I have no horse in this race, other than a desire for replicable analysis.
In any event, we at climateaudit welcome this continued scrutiny from the Dendro Truth Squad, and, as mentioned before, we urge the Dendro Truth Squad to extend their vigorous inspection of even the most minute comment on a climateaudit thread to other ventures, such as the IPCC Fourth Assessment Report.
Wilson and Luckman also noted that there had been increasing cloud cover in the Canadian Cordillera and that this increased cloud cover could be associated with the phenomenon of increasing minimum temperatures without a commensurate increase in maximum temperature. They noted that trends for Tmax and Tmin may have varied in the past and that recent trends in DTR may not be unique, a conclusion that they described as having “potentially profound” consequences for temperature reconstructions in that they hypothesized that it might be “necessary to reconstruct all 3 parameters to establish past temperature variability.”
Wilson and Luckman reported a variety of statistics for their reconstruction, but, as far as I can tell, did not report the regression coefficients. As noted elsewhere, I’m inclined to view their regression methodology as leading to some overfitting in the 20th century in that there is an inverse OLS regression on two “naturally orthogonal” series. Wilson and Luckman argue that this orthogonality is a good thing in that it avoid multicollinearity; I’m inclined to say that it’s a bad thing if you’re trying to extract a “signal”. Wilson and Luckman did not report regression coefficients for the various reconstructions, although they report many verification statistics. Without the regression coefficients themselves, it’s impossible to determine the relative contribution of the regressands (or even whether they all have positive signs.)
As against concern about “natural orthogonality”, Wilson has argued here that RW and MXD target different seasons. WL02 shows response coefficients for their PC1 (~MXD) and PC2 (~RW) series, with the MXD series having very high correlation to August temperatures and a medium correlation to spring temperatures (but apparently not July temperatures); while the RW PC had medium correlations to July temperatures. Correlations are shown for max, min and mean temperatures. The slight difference in seasonal response would justify the orthogonality of the series only if August and June-July temperatures were themselves “naturally orthogonal”. I haven’t checked this situation in Canadian Rocky Mt data, but, if this is so, then this presents a further substantial obstacle to reconstructing a seasonal average, let alone an annual average.
I’m wondering whether the natural orthogonality is more like the orthogonality that one gets from different Legendre polynomials – if you have two integrals with both positive and negative correlations to a “signal”, then the two integral series can well be orthogonal. The inversion problem is that if RW and MXD chronologies are functioning similarly to Legendre polynomials with positive and negative coefficients on monthly temperature signals (let alone precipitation signals), then each of them may be orthogonal to the annual average (which itself is the first Legendre polynomial).
In any event, the evidence is quite clear that there is no HS shape in any simple averages of the site chronologies. I’ll try to re-visit the Wilson and Luckman Jasper/Athabaska reconstruction in the light of this and the related St George-Luckman reconstructions on a future occasion.
I’ve not covered all aspects of the papers as my interest at this time is in raw proxy series that show a strong positive response to recent warming. Rob performs interesting comparisons of his reconstructions to other reconstructions. These papers also originate his interest in the divergence problem. All of Rob Wilson’s papers are online at his website here and I’d encourage interested people to read the originals, since Rob does not always (or rarely) agrees with my characterization of the papers.





68 Comments
This is a classic introductory problem in machine learning, but most ‘scientists’ reply “What’s the difference”.
Spencer Weart @rc recently made the remark: “We have to be careful here. One problem in the debate is people (engineers for example) who understand just enough math to get into trouble.” To which (among others) Gavin Schmidt replied, “Your points are very well taken….”
Ironic.
When I attempt to make sense of these exercises in finding the best correlation of month(s), Tmin, Tmax, and Tmean, I keep getting back to Tmean over an annual time period for the correlation that would really mean anything to someone attempting to find a reasonable temperature proxy for explaining historical changes in the global mean temperature.
Looking at precipitation and temperature correlations from the same tree ring growths and doing this for various time periods and for min, max and mean temperatures can either be a data snooping exercise or a basis for making a case against using tree rings as proxies for mean temperature changes. The variations in these correlations, I would assume from a layman’s view, mean that all these variables noted above do not correlate well over the calibration (?) period — otherwise one would go directly to mean temperate over an annual time period.
Understanding these various correlations could have some basis in tree physiology and/or changes in climate variable relationships. Would not that better be approached, though, by making the hypothesis for tree ring growth and/or climate relationships and testing it with these calculations? Without this being the approach, I see the reporting of these results as an attempt to make a big deal out of the “best” correlation with a temperature and leaving the reader to figure out what that means in terms of the other correlations or lack of thereof.
We need Rob Wilson back at this blog to give us his view, in all sincerity and boyish innocence, what these grinding out of correlations means to him. He might likewise even tackle the issue of the 10 year delay (so far) in archiving their data. Certainly I think Rob could convince me that a graduate student writing an original paper as part of her graduation requirements using the data in question could take that long or with some other equally logical explanation.
#1
Ironic may be too soft of a word.
Every time an engineer does math their butt is on the line. Is there even one example of any one of these climate guys having criminal (eg. Kansas City Hyatt) or civil liability for their math?
In my opinion, these guys could use the help of some qualified, practicing engineers. The very first thing I would expect an engineer assigned to the AGW issue to do would be to establish a process of stating, continuously challenging, and verifying all underlying assumptions. AGW proponents could make allies out of all the engineers they want by taking this simple step. Of course, a well-developed and properly tested statement of assumptions would require a lot more effort and technical competence than it takes to hurl around insults and run a big PR campaign.
Steve M. wrote, “Gou et al had argued… that their chronologies enabled them to reconstruct past minimum temperatures, that warmer winter temperatures led to less frost in the ground and an earlier growing season.
“[Whereas] Wilson and Luckman 2002, 2003 … propos[ed] that the failure of ring widths to increase might be explained by increased nighttime respiration due to higher minimums, without commensurate photosynthesis increases due to no trend in daytime maximum temperatures.”
These are plausibility-invoking hand-waving arguments in the classic mode of soft science. Such arguments were endemic in the early days of organic chemistry, for example. They are diagnostic of the absence of quantitative knowledge.
There is no way a science can produce quantitative measures when it must take recourse to fuzzy ‘maybe this, maybe that‘ arguments concerning fundamental states. While dendroclimatology itself is a very worthy venture, it is clearly in its early stages. There is no such thing as dendrothermometry. That field is bogus. Taking PC’s and assigning them by fiat to physically orthogonal meaning is wrong. The most earnest salesmen believe their own pitch.
#2. Rob’s position is that “Wilson and Luckman 2003 do detail a clear hypothesis why Tmax might be a better parameter than Tmean”. OF course, twq tells us that Gou et al also set out a clear hypothesis why Tmin might be a better parameter than Tmean.
Memo to Rob: “Detailing a clear hypothesis” is not the same as scientific proof.
I don’t care whether Tmin is a better parameter than Tmax or vice versa. I don;t have a horse in this race.
If dendro-ists agree with Gou et al that lower border chronologies are determined by Tmin, then we can assess this; or if they say that lower border chronologies are determined by precipitation and upper border chronologies by Tmax, than we can look at that. The problem is that Rob and twq should be arguing with each other and not with me. They can both be wrong, but they can’t both be right.
Greetings,
Some background to a timeline of work.
W+L 2002, 2003 were work that came from my 1999 Masters.
W+L 2003 was submitted to the Holocene in 2000.
W+L 2002 was submitted to Dendrochronologia in 2001.
I will briefly discuss both papers.
W+L 2003 is the main ‘result’ from my 1999 Masters and laid the foundation for L+W 2005.
I have said this before, but I will repeat. Two reconstructions were developed. REG – a PC regression based reconstruction using 12 RW and 5 MXD series. This was restricted to the period 1845-1997. IBC – a longer reconstruction (1600-1991) that used 3 RW and 2 MXD chronologies. The RW and MXD chronologies were averaged to derived the respective RW and MXD predictor variables.
Both reconstructions (independent of each other) explained 53% of the maximum temperature variance. No overfitting is possible (as with L+W 2005) with the IBC series.
It is not mysterious that six chronologies were not used. These chronologies had weak signal strength (see Table 1 and top of column 1 on Page 853, plus references mentioned there) and a compromise had to be made to maximise the length of the reconstructions. Signal strength is a function of the common signal between series (measured using the between tree correlation) and the number of series. Chronologies should not be used where their signal strength is weak.
The main hypothesis in this paper resulted around exploring the ‘dominant’ response of the RW and MXD data to temperatures. The standard approach in dendroclimatology is to compare against mean temperatures (Tmean). That is fine where the overall trends in maximum (Tmax) and minimum (Tmin) are the same. However, in British Columbia – and many other regions in the world – there is a distinct difference in trend between Tmax and Tmin with Tmin normally increasing at a greater rate then Tmax.
My simple (and I am no plant physiologist) hypothesis was this – that trees both respire and photosynthesise in the daytime, and only respire at night. Ring development and most cambial activity therefore is a result of daytime conditions (or at least weighted towards the day) and so it would seem logical that the trees would respond more strongly to daytime conditions. My empirical analysis and reconstruction results appear to back up this hypothesis – for this region at least. This is a hypothesis and is certainly not set in stone. However, in regions were there is a distinct difference in trend between Tmax and Tmin, then both parameters need to be looked at rather than Tmean.
I should note that independent work by other groups (papers in submission) have explored this phenomenon in other regions (e.g. the Yukon, Pyrenees and the Central Altay mountains in Russia) and all show a dominant response to Tmax. However, these comparable results do not validate my hypothesis. Rather, they just further highlight that more work is needed.
W+L 2002 was a little more exploratory in nature and was purposely submitted to a tree-ring based journal (Dendrochronologia) as I did not have as much faith in the reconstructions as W+L 2003 – I termed them as preliminary. It was a concepts paper and explored further some ideas detailed in W+L 2003. In this paper, I reconstructed Tmax, Tmin and the DTR. Tmin was only possible because there is a second mode of RW variance that appeared to cohere better with Tmin. Of course SM would say that my analysis was ” opportunistic ” to this empirical result. However, I would argue that I (1) noted this result, (2) tried to explain it and (3) used it to my advantage to study trends in Tmax, Tmin and the DTR. I am after all interested in past climate and knowledge of these three parameters would be very useful.
Remember, this study was exploratory in nature and more questions arose than were answered. Some quotes from the Conclusion:
3. These questions require continued investigation. We therefore suggest that it would be prudent if future dendroclimatic studies investigate the reconstruction of all three temperature parameters (Tmax, Tmean and Tmin) to evaluate which parameter provides the best reconstruction.
4. It should also be emphasised that these results do not exclude the possibility of other causes of divergence between modelled and actual temperatures related to major tree-growth/climate response changes (e.g. the influence of changing precipitation levels (Jacoby and D’Arrigo 1995; Vaganov et al. 1999; Barber et al. 2000; Lloyd and Fastie 2002) and anthropogenic influences (Briffa et al. 1998)). Our results simply add another list of variables that must be evaluated in future dendroclimatic research to determine possible causes of changes in the relationship between tree growth and climate.
Thank you for bringing my Tmax hypothesis to the forefront of debate. I hope other dendrochronologists will read this and explore these issues. I do not really care what the ‘normal’ readers of CA think, but would urge them to get away from their computer screens and go walk in a wood.
Pat in #4 says it all. Maybe it is this, maybe that. As a plant physiologist, I have some knowledge of plants growing at the limits of viability, as I spent several months in the Antarctic researching a site with the most Southerly located higher plants on the planet. Take it from me- there are multiple limiting factors that differ from year to year, month to month and day to day. Neither do these factors operate in isolation of each other, there is constant interaction. To argue that you can pick out just one factor, with a sufficient degree of precision, to argue for major World policy and economic changes is simply not possible.
But that’s exactly what has happened. Billions of dollars have been spent assuming the plant growth/temperature is approximately linear and accurate to 0.5C (witnesses to the NAS Panel) or even 0.2C (Michael Mann to the NAS Panel).
“Chronologies should not be used where their signal strength is weak.”
This still sounds to me like: We examined the data for the samples that best supported my hypothesis.
When dendroclimatology reaches the point where I can take a practitioner to a random spot of woods, let him examine the conditions and the historical record, predict what the ring pattern should be. Then we take a core, and have the core match the prediction, then and only then will I accept that using rings to backcast climate is legitimate.
Lloyd and. Fastie (2002) Spatial and temporal variability in the growth and climate response of treeline trees in Alaska. Climatic Change, Volume 58, 481-509.
Contrary to our expectations, we found that after 1950 warmer temperatures were associated with decreased tree growth in all but the wettest region, the Alaska Range. Although tree growth increased from 1900-1950 at almost all sites, significant declines in tree growth were common after 1950 in all but the Alaska Range sites. We also found that there was substantial variability in response to climate variation according to distance to treeline. Inverse growth responses to temperature were more common at sites below the forest margin than at sites at the forest margin. Together, these results suggest that inverse responses to temperature are widespread, affecting even the coldest parts of the boreal forest. Even in such close proximity to treeline, warm temperatures after 1950 have been associated with reduced tree growth. Growth declines were most common in the warmer and drier sites, and thus support the hypothesis that drought-stress may accompany increased warming in the boreal forest.
Deconvolute that!
An unnecessary comment since I would venture that most “normal” readers are lurkers like myself who are just trying to figure out what is going on regarding the issue of climate change. If the blogosphere could be considered an ecosystem, then I would also consider the statement to be a sign of weakness of the thin skinned kind.
In my field we have to predict and understand the performance of our systems in a variety of conditions. These systems are expected to perform to a set of specs/requirements that contain a variety of environmental and ‘situational’ envelopes. If my team decided to cull samples from regimes where the system performed poorly, then report the system performance for the heart of the envelope we would all lose our jobs. But hey, we are just a bunch of engineers that have to actually make something work – in the real world.
#6. OK, I see why you de-selected those 6 chronologies. It would have been clearer if you had explicitly said something like: “Six chronologies which did not meet an EPS>0.85 standard by 1847 were excluded from consideration.” Now I can see that this is latent in your table, and I can see why it was obvious to you. I didn’t think that this mattered to your results as I observed. I edited the post accordingly. While I was doing this, I added some new material and did some re-writing.
#9, 13. Rob’s exclusion criterion is not related to cherry picking, but to a QC standard that he applies to chronologies. The QC standard is not connected to a desired signal. It’s a very different form of picking than Hockey Team subset selection. I’ve tried to clarify this by re-editing the post.
BTW this QC standard is not met by (say) the Wang et al 1983 3-core chronology or the 1-core portion of the Gaspe chronology, but dendrochronologists don’t say such things.
re: #15 Steve,
While it may well be that Rob’s exclusion criterion isn’t exactly the sort of cherry picking we’ve complaining about, doesn’t it still have statistical consequences? While he’s trying to figure out how trees react to Tmax or Tmin, the ultimate desire is to back-cast this to periods where we don’t have measures of Tmax or Tmin to compare them to. But that being the case, we also can’t tell if the particular trees we have from such periods are some of the ones with large signals or small signals in that period, because we don’t know if temperature trends are large or small in particular non-instrumental periods.
And knowing that they have a strong signal during the instrumental period doesn’t necessarily help. It might be that a particular tree or stand of trees are in a particularly good ecological area to reflect temperature signals, but it might be that 500 years ago they were much moister, say, and therefore weren’t very sensitive to temperature while a neighboring stand which now has a low signal and is thus excluded was then much more sensitive to temperature.
Re#6
Just when I was about to thank you for a well-thought post, you end it with a bolded
snark.
FYI, I spend a lot of time walking in and near woods. Last evening, my 90 minute walk resulted in the discovery of 40-50 ticks my dogs and myself. I am not sure what benefit this provides to this thread, website, climate science, dendrochronology, or anything else for that matter.
RE 6: Rob Wilson says:
I’m not plant physiologist either, but I’d be careful about even this seemingly sensible hypothesis. IIRC, some fast-growing plants like corn & bamboo do most of their growing at night, while mostly accumulating starches in the leaves during the day.
I’ve not covered all aspects of the papers as my interest at this time is in raw proxy series that show a strong positive response to recent warming. Rob performs interesting comparisons of his reconstructions to other reconstructions. These papers also originate his interest in the divergence problem. All of Rob Wilson’s papers are online at his website here and I’d encourage interested people to read the originals, since Rob does not always (or rarely) agrees with my characterization of the papers.
#11. Don, the Lllod and Fastie study connects to the recent post on Positive and NEgative Responders here , where I link to some earlier discussions on this problem. Dendroclimatologists (or at least some of them) say that they are aware of the problem and working on it, but you sure wouldn’t guess that there were such difficulties from IPCC 4AR.
RE: #1, RE: RC – Oh, them danged engineers ….. too cold, calculating, analytical ….. and …. APPLIED! (Plus, since most of them deal with products, they are corrupted by the profit motive!) /s
I would hesitate to declare that trees respond exclusively to either TMAX or TMIN.
My recollection of high school physics reminds me that chemical reactions speed up as temperatures increase. Since trees are not warm-blooded I feel safe in assuming that the rate at which their biology reacts will have at least some correlation to temperature. Leaves and small branches will pretty much track the current temperature. The cambian(?) layer, being just under the bark, will have a temperature that presumably tracks an integral of the temperature over the last couple of hours. As you get deeper into the tree, the temperature response time of the material will get progressively slower.
Photosynthesis takes place in the leaves, but tree growth and carbohydrate storage take place in the branches and trunk.
Of course, different kinds of trees, because they have different kinds of bark, will also have differing temperature response curves.
RE: #6 – “I do not really care what the normal’ readers of CA think, but would urge them to get away from their computer screens and go walk in a wood.”
I do, every day. I own one.
Another point is that the amount of carbohydrates created by the leaves should depend primarily on three things. The total amount of sunlight hitting the leaves, average temperature during the time of sunlight, and being provided with sufficient raw materials to keep photosynthesis going at the max rate permitted by available sunlight.
I don’t know how good a proxy TMAX would be for average temperature during the daylight hours. Additionally you need to factor in how much the leaves are being warmed by sunlight themselves. (This is a factor that could change year by year, depending on the size of the trees in the area of the tree being sampled.)
Additionally, the leaves would warm up quickly in the morning as sunlight strikes them, but the branches and trunk would warm up much more slowely. Would the tree be able to supply raw materials to the leaves quickly enough during these morning hours? Or does the tree store raw materials nearer to the leaves, to compensate for this? (Seems to me that any tree that developed such a mechanism would have a biological advantage over it’s neighbors.)
I guess the final conclusion is that plant biologists need to be much more involved in these studies in order to validate the assumptions that the dendroclimatologists are making.
Re: #6
Rob, I do not really care what advice you give regards relaxation, but I take at least one and often times two walks in the woods a day.
Your replies are appreciated and tend to reinforce my views of the wobbly base on which tree ring proxies stand.
Re: #16
In my mind Dave Dardinger’s comment and observation are most critical when we consider how tree ring correlations with temperature maximums and minimums, temperature and precipitation combinations applied over various monthly time periods can be applied to time periods other than the instrumental period. One can learn about climate interelationships and tree physiology, but I do not see how they can be applied to the pre-instrumental period, unless one were to assume that these relationships are unchanging over long periods of time.
Would not a better excercise be to use a calibration period separate from a validation period to determine just how unchanging these relationships are? Or perhaps slice the instrumental period even further by randomly selecting several groupings of years for comparison.
I have another thought about tree ring proxies that is related to work that Rob Wilson does and that is in comparing proxies going back in time for some kind of indirect validation of proxies. I would guess that when the climate changes for long periods of time any number of tree ring chronologies could be found that would react qualitatively in similar fashion. That reaction is, however, not the critical issue. The critical issue is whether the amplitude of the reaction can be used to measure temperatures and whether by going back in time climate relationships and non-climate factors have changed the calibration.
Rob’s selection criterion looks fair to me. He is just comparing trees WITHIN a stand to eliminate those series that show only noise.
I would suggest that he team up with some plant physiologists and see what they can do.
I do not really care what the normal’ readers of CA think, but would urge them to get away from their computer screens and go walk in a wood.
?? Don’t know what to make of this statement. I walk in the woods often, and every tree I see is unique, and each one’s growth is probably limited by a unique combination of variables. But the overwhelming one is water, IMHO.
I would like to take a moment to thank Rob Wilson and twq and other dendro-ists for hanging in and participating in these discussions (maybe inquisitions from their point of view). This back and forth dialog has helped me better understand this scientific field.
Sonicfrog – the geology school drop-out!
Every tree tells a story – a story that reflects its individual environment – i.e. response to local water conditions, temperature, sunlight or even ecological factors such as canopy opening, insect attack etc etc.
However, all trees within a stand will portray a common response to the stand environment.
Averaging many trees will minimise the tree specific noise and maximise the common signal amongst all the trees within the stand. I will not even go into signal strength – read the relevant material or get Steve to detail it. I think we both have better things to do though.
One could then go to the next level and say that a stand portrays a local stand signal (again a mix of multiple signals). Sampling multiple sites from a region will show some common signal related to the region. Therefore, averaging many sites will maximise the regional signal and minimise the sites specific signals. Ideally all sites within a climatically homogenous region will show the same signal, but that is rarely the case.
Of course, as a dendroclimatologist, I want the stand and regional signal to be related to climate.
This is where site selection comes in. As Steve is currently hot on the British Columbia work lets examine this location and the work that has been done over the last 10 years. I sampled (also St. George, Youngblut and Colenut) high elevation trees (spruce, whitebark pine and larch) as our aim was to reconstruct temperature. Emma Watson (another ex student of Luckman) sampled low elevation trees (Douglas fir and ponderosa pine) to derive precipitation reconstructions. Geographically the same location with regards to latitude and longitude, but radically different environments due to elevational differences. [NB. See my first ever paper and references therein (Wilson and Hopfmueller 2001) for an analysis on the change of tree response (in this case spruce) with elevation.]
I will say this until I am red in the face, valid reconstructions of precipitation and temperature have been developed for the BC region.
Many CA readers have stated that they cannot believe how trees can be used to reconstruct one specific climate parameter as there are multiple factors that influence growth. Well, I agree for the individual year, a myriad of influences are relevant to the development of a growth ring. BUT, dendrochronologists calibrate over a prolonged period to identify the MEAN response of the trees to climate (and yes we validate over an independent period). This mean response has been maximised through site selection. Dendro recons can explain anywhere from 30-60% of the climatic variance. It is rarely greater than this. The unexplained variance is essentially the other factors that influence growth.
The issue is simply this – is the unexplained variance significant? – or should I say, would the residuals from regressing the tree-ring data (as the dependant variable) against temperature (as the independent variable) be significantly correlated to another climatic parameter such as precipitation. If the residuals are correlated with precipitation, then there is a problem with the reconstruction because the reconstructed time-series (as defined by the mean response over the calibration period) portrays a mixed signal. If the residuals are not correlated with any parameter other than the one being reconstructed, then they are random and reflect the differing responses from year to year.
So please, please, try to understand that trees are not thermometers or rain gages and are not direct measures of temperature and precipitation. They are proxies. They are not perfect, and we really do try to robustly portray how strong or weak they are.
I write this in the knowledge that Steve is ‘reviewing’ Luckman and Wilson (2005). I think he or Willis will have a hard time trying to say that this is not a temperature proxy. However, I am willing to see a sceptical view point on the study.
One last thing with regards to Willis’ other thread – “Inversions from Partial Correlation Coefficients “. I admit to only briefly reading it through, but if I understand it correctly, he is basically saying that correlation (not meaning causation of course) is not a valid method of assessment as it does not identify if all series portray the same signal pers se. Therefore, if I randomly went to BC and sampled a new TR network, even if the trees correlated in a similar way, I may not get the same outcome with regards to a reconstruction.
Well – the figure below (hopefully inserted by Steve) compares the Luckman and Wilson (2005 – Icefields RCS), Wilson and Luckman (2003 IBC and REG) and Wilson and Luckman (2002 – Tmax recon) reconstructions. The correlation matrix shows their coherence over their maximum period of overlap. The first three series are completely independent of each other (they all explain 53% of the Tmax variance). The Wilson and Luckman (2002) series uses data incorporated in both IBC and REG. If Willis’ analysis was correct I would guess that there should be significant differences between the first three independent series. Within the error range of these reconstructions, there is no difference. The L+W 2005 series is slightly cooler in the 17th/18th century but that reflects the use of RCS processing (but that is another story I guess).
There is a coherent story here – both within Interior British Columbia and also when compared to the neighbouring region where the Icefields is located. Of course, I am sure some of you will think differently, but I will refrain from any sarcastic comments.
Rob
[picture here please – thanks Steve]
Thank you, Rob. That’s the best explanation of the dendro approach I have seen here. A couple of questions: (1) Where’s the hockey stick? (2) Does information on precipitation at lower elevations, where soils are generally much better and deeper, indicate much about moisture availability near treeline, where the soils are generally shallow, sandy, and fast-draining? I keep going back to Veizer’s information that shows that plant growth in temperate zones is moisture limited.
Uhh…too late by the time you got ot ” but I…” the sarcastic comment had already been uttered.
RE: #28 – Rob – What level of positive correlation with temperature would you expect for Coast Live Oaks growing at just under 1000 feet above MSL, in the high 30s of latitude in coastal California, in an area between the 20 and 30 inch-per-year average rainfall lines? Same question regarding Douglas Fir.
Rob W’s assumptions:
“However, all trees within a stand will portray a common response to the stand environment.”
except the trees at the south side of the stand will probably get more sunlight (in the NH), and trees at the west may receive a bit more precip (given prevailing westerly winds)
“Averaging many trees will minimise the tree specific noise and maximise the common signal amongst all the trees within the stand.”
if you would use a simple mean of trees meeting a priori exclusion criteria,i’d agree.
“Sampling multiple sites from a region will show some common signal related to the region. Therefore, averaging many sites will maximise the regional signal and minimise the sites specific signals.”
depends on the definition of “region”. i take many walks in the woods and mountains from new hampshire to georgia, california, wyoming, british columbia. different species of trees often predominate in diffeent areas of a relatively small “region”, different faces of the sme mountain for example.
“Ideally all sites within a climatically homogenous region will show the same signal, but that is rarely the case.”
this assumes there is such a thing as a “climatically homogeneous region”.
“I want the stand and regional signal to be related to climate.
an obvious bias which may exclude you from gathering data in certain types of studies.
“Geographically the same location with regards to latitude and longitude, but radically different environments due to elevational differences.”
elevational differences cannot be “geographically the same with regards to latitude and longitude”, unless you are sampling in midair, or underground.
“Dendro recons can explain anywhere from 30-60% of the climatic variance.”
or, dendro recons cannot explain 40-70% of the climatic variance. (if your statement is a given)
re #28 Rob thanks for this info. which move the debate forward somewhat. Can I also ask you to comment on the thread that Steve in #20 directed me to? The basic problem as I see it is that selected trees which respond to temperature in one timeframe (the recent instrumental calibration period) may not respond in a similar fashion in the past.
I have said this before on another thread. I do not believe that biological proxies should be used at primary evidence for past climate change. There are simply too many confounding variables. There are physical processes that can be used- and should be- as primary sources. If you can get the biologicals to agree over the same timeframe, then you are in a lot stronger situation.
It seems to me your last sentence reaffirms the beliefs of “many CA readers” in your first sentence.
Rob, thanks as always for your contribution. You say:
You say that if I were correct, there would be differences between your studies. My apologies, I guess my writing was not clear. My point was not that there will be differences between the trends of series showing similar correlations. It was that there can be differences between trends of series, both in amount and sign, even if the correlations with temperature are identical. This was an unexpected finding for me, and one which I still don’t understand the ramifications of.
w.
re. #33
Don et al
Dendroclimatology and all palaeoclimate disciplines must rely on the principle of uniformitarianism. This is not a cop out, but a reality of working with a short instrumental record.
Comparison with other proxy records is one way to assess the reconstructed ‘signal’ through time. This is not always so easy as most other proxies do not have the dating control of tree-rings and may not be annually resolved. Of course, how good are the other proxy records as well?
However, in Europe, favourable comparison between TR and documentary evidence has been made many times.
Another approach is to look for further evidence that may verify your reconstructed ‘signal’. For example, if you look at Figure 5 in the L+W2005 paper, it compares the Icefield’s reconstruction with periods of glacial advance – which match well with the reconstructed cool periods of the Little Ice Age. Also, the extreme reconstructed cold years in the reconstruction coincide with known globally significant volcanic events.
I can understand people’s distrust of a single proxy record, but when multiple records start providing a coherent story for a region, then even the sceptical minded people have to consider that tree-rings (and other proxy records) just might work sometimes – and why not more often than not!
Anyway, time for a beer – I think I need it.
Re: #28
Don’t get red in the face — take a walk in the woods as I do. The point is not whether you can find reasonable correlations for temperature in the instrumental period given a selection process that does not appear to be particular sensitive to the issues of data snooping or use of a prior guides for rejecting data. I think just about everyone here agrees that that can be done.
I would think it is very difficult to make the proper statistical adjustments for the selection process as I understand it, and therefore, the next best way of evaluating the validity of these proxies is with out-of-sample data. I believe that has been at least part of the purpose of Steve M’s search for post 1980s TR data. The data that could fulfill that purpose would, I assume, not be used as part of a new calibration but simply used with the original calibrations (pre 1980) to measure post 1980 temperatures.
My point has always been that extending this correlation (during the instrumental period) to past times is dubious at best. While the correlation may hold during the instrumental period, beyond that the stationarity of the so-called “mixing” or even the stationarity sources themselves, is unknown. While there may be loose correlation with other means (as suggested by Rob, a point I don’t disagree with), that alone does not validate an assumption of long-term stationarity.
Mark
What I really distrust, because of Steve M’s tremendous ongoing work, is RECONSTRUCTIONS that are extremely sensitive to including certain proxy records that even many dendros distrust (e.g., bristlecones from N. CA). As many here have noted, out of sample testing is sorely needed to determine whether any of the tree ring proxies are are giving us useful information. I am glad to see attention being paid to the “divergence” problem in that regard.
Re: #36
I was giving this issue some thought between my evening walk and martini.
The skeptical observer is probably not going to be impressed by a less than nearly total accounting of these proxy comparisons and will discount the fact that some proxies can be found that agree qualitatively. Has such an analysis ever been done? It could be that not that many proxies are available to encourage data snooping and/or cherry picking, but I could still have concerns about self censorship in publishing/analyzing data out of the consensus norms. That is again why out-of-sample results would be more convincing.
As I recall the proxies presented with the HS in TAR had some differences over some periods of time that are significant when we are, after all, concerned with differences on the scale of a degree centigrade. These proxies, I believe were all primarily based on TRs. Certainly the HS was rather unique compared to other proxies in its lack of variation on decadal or longer time scales.
From the groves of academe, Prof. Wilson offers only contempt for those who think differently.
I think people are confused by something: the mechanism of heat stress is not temperature; it is evaporation&vapor pressure gradients–something which happens to be connected to temperature but which is conflated by several variables.
The effect of rate kinetics is not the dominating effect, mostly because the intra-cellular temperature is not at equilibrium with the ambient air–again due to evaporation effects.
Obviously at certain extremes the situation changes. e.g., the number of ‘freezing days’ per year–in which case the min temperature would correlate. Or the number of heat-stress days, in which case the max temperature would correlate. Which applies will tell you which side of the convex growth curve you are on.
I expect that a tree should exhibit substantial hysteresis around nominal temperatures. Consequently the growth patterns should be relatively inelastic to mean temperature except in so much as mean temperature corresponds with the extremes.
Rob, please pass this on to the IPCC as they seem to think the proxies as accurate to tenths of a degree.
I was also caght by the rather biased thesis:
It just seems a rather non-scientific approach and I agree with Dave B that it might lead to bias.
In any case, I thank you for your continued participation in the discussion as it is important to have a dendroclimatologist’s view. It has certainly expanded my view on the subject.
The ‘uniformitarian principle’ of dendroclimatology is defended most vigorously by those who do not understand, or care to investigate, its statistical implications – especially as pertains to reconstruction accuracy during the MWP. Dendroclimatologists, get thee to a Wegman.
Here is the figure – hope it works
re #36 “Dendroclimatology and all palaeoclimate disciplines must rely on the principle of uniformitarianism. This is not a cop out, but a reality of working with a short instrumental record.” I do sympathise with this point of view (the assumption that the natural processes operating in the past are the same as those that can be observed operating in the present.). However it is difficult to reconcile with what we are constantly being told-that these are “unprecedented” times. CO2 levels, for instance, higher than at any time in the last 650, 000 years. Given this, how does the principle of uniformitarianism still hold?
In all these discussions of correlating annual rings with Tmax, Tmin and Tmean, I have yet to see reference to the standard descriptions of plant growth responses to climate change that are in common use by plant physiologists. Thus plant growth can be assessed as a function of completion of a series of phenophases (visible stages of development) that a plant must pass through if it is to grow (and reproduce) successfully. One potentially useful phenophase is annual ring growth.
The onset of these phenophases in the first half of the year in temperate/Arctic/Alpine zones is linked closely to the passing of certain threshold temperatures (not specifically Tmin, Tmax or Tmean). On the other hand phenophases falling in the second half of the year are less closely related to threshold temperatures than the heat sum- that is the time integral of average daily temperatures (degree days) that exceed the specific temperature thesholds. Forgive my lack of knowledge of Dendroclimatology, but has anyone researched just what are the temperature thresholds (upper and lower) for these, or examined any relationship with degree days?
“I can understand people’s distrust of a single proxy record, but when multiple records start providing a coherent story for a region, then even the sceptical minded people have to consider that tree-rings (and other proxy records) just might work sometimes – and why not more often than not!”
I always thought that the scientific method required a little more certainty than “why not?”.
“Dendroclimatology and all palaeoclimate disciplines must rely on the principle of uniformitarianism. This is not a cop out, but a reality of working with a short instrumental record.”
Since the core of dendroclimatology relies on such an unproven given. I don’t see how we can use the results of these studies for anything?
Certainly not to justify massive restructuring of the world’s economies.
As a quick layman’s question, it seems to me the proper way to decide which biologic proxies to use, if any, would be to test those from the instrumental period and use the ones in which certain climatic signals can be isolated with the greatest certainty, correct? If you want to measure temperature, a tree’s response to temperature changes seems irrelevant next to the ability to isolate that response from other factors. So has anyone looked into this during the instrumental period to see which trees are best for isolating this or that climatic signal?
Has anyone put a thermocouple underneath the bark various trees and correlated the temperature there with the ambient temperature over the course of a day?
This might seem to be a flippant question, but it really goes to the heart of how academics and engineers tend to approach technical problems. Maybe the temperature lag behind the bark is not an issue at all, but it is just an assumption until someone actually performs the measurements. In my experience, academics would make the assumption and move on to more sexy topics like PC analysis. Engineers would actually go and make the measurement.
There are probably dozens of practical issues such as this to resolve before attempting elaborate statistical treatments on centuries-old tree rings.
To further illustrate my point about my concerns of correlations of annual growth rings with measurements of Tmin, Tmax and Tmean it is worth noting that for coniferous species (which are the tree-types being considered) from regions with cold winters, the threshold temperature for cold injury (in the dormant state) covers the range -40C to -90C. The threshold temperature for heat injury during the growth period is 44C to 50C. I strongly suspect that Tmin and Tmax (in particular) do not reach these values.
Much more important, and impossible to relate to Tmin, Tmax or Tmean are early growth season frosts- which I imagine are fairly typical of the environments used for climatological reconstructions. In this connection cambial activity occurs at precisely this period. Thus a severe late frost in an otherwise “warm” year (high Tmean) would result in a narrower growth ring than a year of below average warmth (low Tmean), but lacking severe early growth season frost.
Re: #45
My old eyes love those large graphs, but I think their resolution capabilities might appreciate a moving average of reasonable length.
These correlations would certainly indicate that the chosen proxies were reacting similarly to changes in growing conditions over the time periods of comparison. It would be clearer if the instrumental temperatures were included in the graph over the instrumental period and if we could more readily visualize the average levels of the various proxies over extended periods of time. Two proxies could be offset in their respective calibrated temperature responses by a significant amount (relative to the differences we would consider important in the historical climate record) and yet have an excellent correlation. I think I see a cold period of 200 years (1650 to 1850) in L+W 2005 that I do not see in L+W 2003 IBC.
Perhaps my morning walk in the woods will help my eyes see what they should see.
Rob, again, thanks for the info. How was the beer?
RE: #44 – Bender, you may have to be the one to lead the Dendrochronological Reformation – LOL!
The principle of uniformitarianism is a basic tenent of many physical sciences, including and especially my profession, geology. the basis of this priciple seems to be misunderstood and/or poorly conveyed by the dendro community, if Rob Wilsons dissertations are a clear expression of the common belief. Please see:
http://en.wikipedia.org/wiki/Uniformitarianism
for a rather concise explanation. I quote a segment of that:
Please note that the reference of uniformity is to the basic laws of physics, not the resulting phenomenon. This is quite contrary to the dendro approach and I think bender is pointing at that fact.
re: #56 Roger,
I don’t think I’ve ever actually seen that definition of Uniformitarianism put into practice successfully. Care to give me an example of how you’d use it in geology?
Dave
I refer to Raymond C. Moore “Introduction to Historical Geology”, Mcgraw-Hill Book Company, Inc. 1958, one of my early texts in historical geology (yes, we move on, but we don’t discard).
As an example of the principle, I have spent a large part of my “fun geology time” of the past 20 years in the study of a Middle-Devonian (~325mya) sandstone formation in north-central Alberta. The PofU allows me to be sure that the nature of sand transport and even the interaction of water carrying and depositing the sands has been constant and is the same today. So I can infer certain characteristics of the sedimentary environment from the local bedforms. ie a current of this velocity and this depth and sand grains of this diameter will result in this type of cross-bedding. Therefore, if I see these bedforms I can define, within a certain margin of error, the nature of the depositing fluids and depo enviro. These relationships have been well-documented in innumerable “peer-reviewed” scientific publications.
The part of the equation that is not PofU is the outside influence of non-uniform factors. For example, the resulting river valley form and inter-action with the srrounding environment in the Devonian (265-350mya) is substantially different than during the Cretaceous (65-125mya). The main factor? Land plants! The Dev, home to ferns, lycopods, algae, by Cret SEQUOIA! Just imagine the difference to bank-binding river vegitation. Result? Same uniform conditions, different channel forms. Bank-binding means the energy goes down, therefore, deeper, narrower channels in the Cret than the Dev. As Steve is sure to point out, many other factors are involved.
This brings us to the Dendro’s PofU. With due respect to Rob Wilson, the assumption that
Now, the only PofU I see here is the reference to……
actually, I don’t see any PofU factors. These are assumptions which simplify the variables and allow a reasonable solution. PofU would be:
Steve, sorry for the diatribe; it seemed appropriate.
I agree with Rob, its time for a beer!
Roger, any good recommendations for geology websites? E-mail if you can list some.
Sonicfrog – geology school drop-out!
Re: #45
Rob, I am back from a couple of walks but we have not heard from you since you went for a beer. I was hoping that you could provide a few lines in a post giving more details on the graphs in post #45. I will eventually go back to the original papers, but in the meantime it would help to know the locations of the proxies listed and the corresponding instrumental temperature data. I continue to see trends over significant time periods going in different directions for the top two proxies and judge that a couple of graphs with different moving averages (comparing 2 proxies at a time to avoid the plate of spaghetti) might help us see what is really going on.
I have recently looked at Midwest historical crop yields (corn and soybeans) as it related to climate (primarily maximum monthly selected temperatures and precipitation). What I saw was a strong interaction between temperature and precipitation effect on yields when that product went below a given level (high temperature and low precipitation). Most of the time, the yields were on a plateau where yields were essentially independent of temperature and precipitation. There were reasonably high correlations of yields with temperature, but that came primarily from the droughty years. Outliers on the graph were always below the plateau line and appeared to be related to plant disease and insect damage. Would these observations have any relationships to the tree physiology affecting TR growth?
I would expect these crop yields to react similarly to similar changes in climate conditions much as you have shown with the 4 proxies of tree rings, but that does not answer the questions about the separate effects of temperature and how trees would react over longer periods of time.
Also, there is the question of changing localized non-climate factors such as fertilization that could exaggerate or diminish the effects of temperature. One would expect to see a good proxy to proxy correlation under these conditions, but with differing local responses/sensitivities to temperature.
As another geologist I’d like to say that Roger nailed uniformitarianism as it was taught to me in Geology 101. I don’t see that meaning applying to the dendrological contexts in which I’ve seen the word. It may be that the same term has a completely different meaning in dendro-ologies. If that is the case it would be nice to see some references.
Where uniformitarianism would apply to dendro would be vis a vis basic plant physiology. That’s about as far as I’d care the take it – anything beyond that (for example at the stand or biome level) would be quite risky, IMHO.
James Erlandson sent in the following graphic in response to Rob Wilson’s comments about whether trees were thermometers:
I have a question about methodology and selection of species/sites for proxies. Would it not make more sense to choose a species and location at the equator? The basis for this is that whereas some areas in the United States reach 134 oF in summer, many cities along or near the equator exhibit highs that do not normally go beyond 95 oF. Also, for choice, shouldn’t the site be in the average latitude and altitude for the species at a location, that from geological studies, has shown to have similar weather/conditions for the period under question? Another question I have about the methodology is: has a factor for CO2 fertilization been determined for each species and has the data of CO2 concentrations for a reasonable period, been obtained to remove this observable phenomena; or were species chosen that it had been determined CO2 fertilization does not occur? If one takes the average of CO2 fertilization studies and subtracts this effect, what effect does it have on the correlations, reconstructions, and the proxies? Another factor about uniformitarianism as applied to TR, since it is known that the sun has cycles which can effect growth and historically we do not have these measurements, that unless this CO2 fertilization effect and the changes in a plant’s response to these sun cycles are known, that any inferences about temperature would preclude the application of uniformitarianism in such a simplistic manner?
When Rob Wilson talks about the uniformitarian principle, I am not certain if this is what he had in mind from WL05 (I would suspect it differs from the views of a number of participants at this blog):
Click to access LuckmanandWilson2005.pdf
I found this in WL05 and it gives me a better view of the sensitivity issue to which I was referring (They use a 20 year spline in presenting the information). To be of the most use for climatology, do not we need to find proxies that reconstruct mean temperatures for the entire year and do it such that we are not so concerned about proxy to proxy correlations but that proxies reproducibly give similar measures of climate changes?
In Figure 3 in WL05 it appears to me that STD and RCS predicted values do not follow the extreme values of the actual Tmax temperatures.
I spent my Earth Day slogging through a blizzard at upper treeline, in the Eastern Sierra Nevada.
The question in my mind now is…. what is treeline? This is not cynical.
Where I was, there was no specific treeline. The trees are not in the form of a closed forest but rather were in clumps of 2 – 20 trees with large spaces between them, on all but north facing slopes. Some slopes in the area are completely treeless and instead have brush. The true upper limit, above which there are truly no more trees (including no more krumholz) varies considerably. One peak it’s at 8000 feet, the next one 10000 feet. On some peaks, there are no krumholz, the trees just stop – below are normally sized trees, above, none.
Even slogging through deep snow, had I wanted to do some coring, I would have had no trouble with equipment transport – would have strapped it to my pack …. LOL!
North facing slopes had more of a closed forest, similar to the Western Slope ones.
Rob Wilson archived this measurement data in August 2007, about 5 months after this post was written.
One Trackback
[…] On July 17, 2007, Rob Wilson archived British Columbia measurement data obtained in 1997-1998 and used in Wilson and Luckman 2002, 2003 (20 ring width; 7 mxd series). The data is here: ftp://ftp.ncdc.noaa.gov/pub/data/paleo/treering/updates. Wilson et al (JGR 2007), a new article, reports on a new tree ring reconstruction from 1750 on, which Rob claims to mitigate the divergence problem. This includes a very slight SI ftp://ftp.agu.org/apend/jd/2006jd008318 , which contains a new version of the BC reconstruction from Wilson and Luckman 2002, 2003, discussed on an earlier occasion here. […]